麦克斯韦方程组微分形式是什么
的有关信息介绍如下:1、麦克斯韦方程组的积分形式如下:

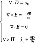
2、微分形式
在电磁场的实际应用中,经常要知道空间逐点的电磁场量和电荷、电流之间的关系。从数学形式上,就是将麦克斯韦方程组的积分形式化为微分形式。倒三角形为哈密顿算子。

麦克斯韦方程组在电磁学中的地位,如同牛顿运动定律在力学中的地位一样。以麦克斯韦方程组为核心的电磁理论,是经典物理学最引以自豪的成就之一。
它所揭示出的电磁相互作用的完美统一,为物理学家树立了这样一种信念:物质的各种相互作用在更高层次上应该是统一的。另外,这个理论被广泛地应用到技术领域。

扩展资料
在麦克斯韦方程组中,电场和磁场已经成为一个不可分割的整体。该方程组系统而完整地概括了电磁场的基本规律,并预言了电磁波的存在。
麦克斯韦提出的涡旋电场和位移电流假说的核心思想是:变化的磁场可以激发涡旋电场,变化的电场可以激发涡旋磁场;
电场和磁场不是彼此孤立的,它们相互联系、相互激发组成一个统一的电磁场(也是电磁波的形成原理)。
麦克斯韦进一步将电场和磁场的所有规律综合起来,建立了完整的电磁场理论体系。这个电磁场理论体系的核心就是麦克斯韦方程组。
麦克斯韦方程组,是英国物理学家詹姆斯·麦克斯韦在19世纪建立的一组描述电场、磁场与电荷密度、电流密度之间关系的偏微分方程。从麦克斯韦方程组,可以推论出光波是电磁波。
麦克斯韦方程组和洛伦兹力方程是经典电磁学的基础方程。从这些基础方程的相关理论,发展出现代的电力科技与电子科技。
麦克斯韦1865年提出的最初形式的方程组由20个等式和20个变量组成。他在1873年尝试用四元数来表达,但未成功。现在所使用的数学形式是奥利弗·赫维赛德和约西亚·吉布斯于1884年以矢量分析的形式重新表达的。
参考资料来源:



