排列组合问题基本概念是什么?
的有关信息介绍如下:【导读】
中公事业单位为帮助各位考生顺利通过事业单位招聘考试!今天为大家带来数量关系解题技巧:排列组合问题基本概念是什么?
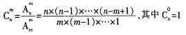
1.排列:从n个不同元素中任取m个按照一定的顺序排成一列,叫作从n个元素中取出m个元素的一个排列。所有不同排列的个数,称为从n个不同元素中取出m个元素的排列数,一般我们记作

。

举例说明:从编号为a、b、c、d的4个孩子中选出2个孩子排成一行,有多少种排法?显然,列举出来有ab、ac、ad、ba、bc、bd、ca、cb、cd、da、db、dc,共12种。这里,即便是选出来的孩子一样,但排列顺序不一样,排法也就不一样,因此要考虑孩子的顺序,所以是排列问题。排法应该是

=4×3=12(种)。
2.全排列:n个不同的元素全部取出的一个排列,叫作n个不同元素的一个全排列,即当m=n时,全排列数

=n(n-1)(n-2)×…×3×2×1=n!。
3.组合:从n个不同元素中取出m个元素拼成一组,称为从n个元素取出m个元素的一个组合。不同组合的个数称为从n个不同元素取出m个元素的组合数,一般我们记作

。

举例说明:从编号为a、b、c、d的4个孩子中选出3个孩子去参加运动会,有多少种选法?列举出来,有abc、abd、bcd、acd这4种情况。abc与acb、bca表明选出的都是a、b、c,是一种选法,不需要考虑孩子的顺序,所以是组合问题,选法为

=4(种)。
考虑顺序用排列,不考虑顺序用组合。
原文链接:排列组合问题基本概念是什么?



